Sokak számára emlékezetes lesz a 2021-re halasztott labdarúgó Európa-bajnokság, amelyen a magyar válogatott óriási bravúrral Németország és Franciaország ellen is pontot tudott szerezni. Ugyanakkor a torna nem csak emiatt különleges, hanem azért is, mert a sportág történetében először Magyarország is részt vett a mérkőzések lebonyolításában: a Puskás Arénában a magyar válogatott kétszer is pályára lépett – Portugália és Franciaország ellen –, de Budapesten rendezték meg az utóbbi két nemzet összecsapását, valamint a Hollandia–Csehország nyolcaddöntőt is.
Kíváncsiak voltunk, hogy mit jelent a szervezés a gyakorlatban, tehát hogy a Magyar Labdarúgó Szövetség (MLSZ) milyen cégekkel kötött szerződést a különböző szolgáltatások elvégzésére, ezért közérdekű adatigényléssel fordultunk a szövetséghez.
De még mielőtt ennek eredményéről beszámolnánk, ismertetjük Vági Márton főtitkár válaszlevelét, akinek álláspontja szerint az igényelt adatok „nem minősülnek közérdekű vagy közérdekből nyilvános adatnak, tekintettel arra, hogy ezt a feladatot az MLSZ nem a hazai labdarúgás irányítására és szabályozására irányuló tevékenysége, mint közérdekű feladat keretében látja el, hanem az UEFA, mint az EURO 2020 szervezője megbízása alapján”.
Vági tájékoztatott továbbá, hogy „a mellékletben szereplő tételeket az UEFA külön elszámolás alapján megtéríti az MLSZ részére” – tehát a végső cechet az Európai Labdarúgó Szövetség állja.
„Mindezek ellenére – az MLSZ több éve követett transzparencia vállalásának megfelelően – a kért adatokat az Ön rendelkezésére bocsátom” – írta levelében Vági Márton.
Bérek és biztosítás
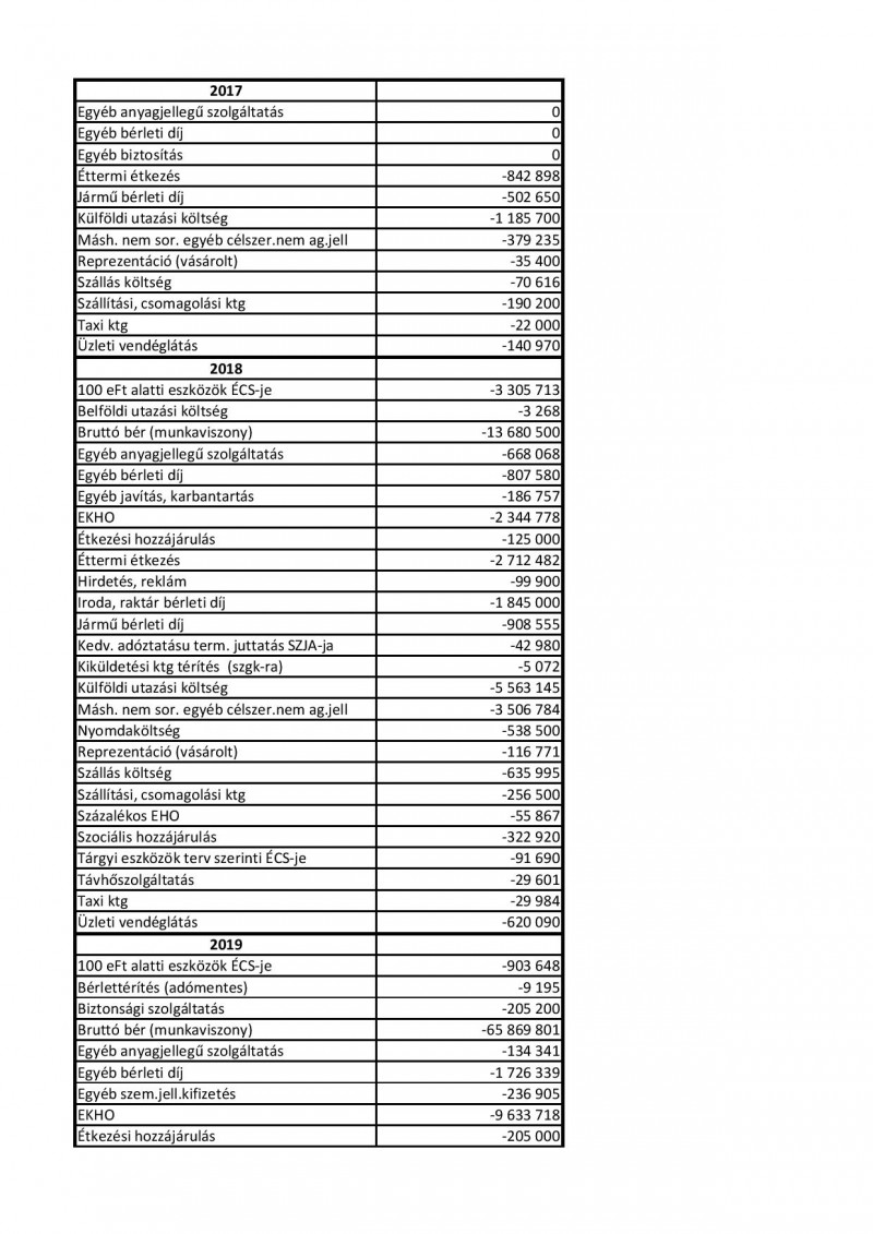
Az MLSZ rendelkezésünkre bocsátotta, hogy milyen szolgáltatásokra és hogy mely külső beszállítókkal (cégekkel) kötött szerződést. Előbbi adatsorból csak a millió forintot meghaladó értékeket szedtük ki külön, de a cikk alján megtekinthető az összes tétel listára bontva.
Az elmondható, hogy a legtöbbet munkabérekre (166 162 751 forint) , valamint biztosításra (99 870 840 forint) költötték.
- 2017-ben külföldi utazásra 1 185 700 forintot fordítottak.
- 2018-ban a 100 ezer forint alatti eszközök értékcsökkenésére 3 305 713, bruttó bérfizetésre 13 680 500, egyszerűsített közteherviselési hozzájárulásra (EKHO) 2 344 778, éttermi étkezésre 2 712 482, iroda, raktár bérlésre 1 845 000, külföldi utazásra 5 563 145, valamint máshova nem sorolt egyéb szolgáltatásra 3 506 784 forintot költöttek.
- 2019-ben bruttó bérekre 65 869 801, iroda, raktár bérlésre 5 535 000, „egyéb” bérlésre 1 726 339, EKHO-ra 9 633 718, éttermi étkezésre 2 683 032, külföldi utazásra 6 214 441, szállásra 1 093 481, szállításra, csomagolásra 1 323 398, SZÉP Kártyára 1 288 768, szociális hozzájárulásra 2 300 160, tárgyi eszközök év szerinti értékcsökkenésére 1 315 975, üzleti vendéglátásra 2 655 353, máshová nem sorolt egyéb szolgáltatásra 5 913 610 forintot szántak.
- 2020–ban 100 ezer forint alatti eszközök értékcsökkenésére 9 841 851, bruttó bérre 79 314 050, egyéb biztosításra 45 786 483, EKHO-ra 1 700 790, éttermi étkeztetésre 5 900 713, iroda, raktár bérlésre 8 236 100, szállításra, csomagolásra 1 360 568, SZÉP kártyára 2 583 876, szociális hozzájárulásra 3 570 364, tárgyi eszközök terv szerinti értékcsökkenésére 3 968 821, máshova nem sorolt egyéb szolgáltatásra 2 743 370 forintott áldoztak.
- 2021-ben bruttó bérre 7 298 400, egészségügyi szolgáltatásra 2 499 000, biztosításra 54 084 357, éttermi étkezésre 1 878 471, nyomdára 5 290 675, rendezvényekre 2 752 500, eszközök terv szerinti értékcsökkenésére 1 681 343 fordítottak.
A közölt táblázat alapján több mint 400 millió forintott költött az MLSZ.
De kivel szerződtek?
A cégekre vonatkozó listáról is csak azokat tüntetjük fel külön, amelyek millió forint feletti díjazásban részesültek, de a cikk alján minden tétel látható.
A két legnagyobb szerződést a Groupama és az OTP húzta be:
A Groupama Biztosító Zrt.-vel 54 084 357, az OTP Travel Kft.-vel pedig 18 869 763 forintra szerződtek.

A további milliós tételek az alábbiak:
- az Accor-Pannonia Hotel Zrt. 1 259 319 forint,
- a Danubius Hotel Zrt. 3 379 647 forint,
- a webáruházakkal foglalkozó Ebusiness Experts Kft. 3 278 250 forint,
- az It Complex Services Kft. informatikai cég 1 511 405 forint,
- a Joc-Print Kft. nyomda dekor stúdió 5 290 675 forint,
- a sport rendezvény szolgáltatásokat nyújtó KTP Sport Services Kft. 5 904 754 forint,
- a tolmács szolgáltatást nyújtó L.C. Bt. 3 777 509 forint,
- a Rampart Gasztronómia Kft. 1 632 864 forint, (a Nemzeti Sportközpontok korábban 45 millió forintos keretszerződést kötött a céggel és egy másik társasággal a Puskás Aréna catering szolgáltatásainak elvégzésére)
- a projektmenedzseléssel foglalkozó Rekontir Bpm Kft. 8 393 909 forint,
- a frankfurti értéktőzsdén jegyzett Synlab Hungary Kft. 2 499 000 forint, (a társaság januárban 140 millió forintos támogatást nyert el a Külgazdasági és Külügyminisztérium, valamint a HIPA Nemzeti Befektetési Ügynökség pályázatán, a pénzt kapacitásbővítés mellett koronavírus tesztelésével kapcsolatos fejlesztésekre költik)
- a Vasas Sport Club pedig 1 063 111 forint díjazásban részesült.
Ugyanakkor van pár egyéb érdekes tétel is. A Bérczes Ügyvédi Irodát 362 500, a Profession.hu álláskereső portált pedig 99 900 forintért bízták meg, a Budapest Airportnál 96 000, a Valton Security Zrt.-nél és a Valton-Master Car Kft.-nél 25 200, valamint 28 350 forintot költöttek – utóbbi cégek a Valton biztonsági szolgáltatóhoz tartoznak, amely a kormány kedvence ezen a területen. Egyéni vállalkozóknak 840 000, 363 220, 44 770, 1 072 500, 50 000, illetve 121 220 forintot fizettek, készpénzes partnernek pedig 1 979 260 forintot. A Tesco 4 406, a Nestlé 28 200, a Mol 674 933, a Telekom pedig 77 402 forinttal lett gazdagabb.
Az MLSZ közölt adatai alapján több mint 120 millió forintot fizetett ki a szövetség külsős cégeknek.
Fontos azonban hozzátennünk, hogy nem ennyibe került összesen az Eb magyarországi meccseinek rendezése, ez csupán az MLSZ -később az UEFA által visszatérítendő - költségeit jelenti.
Cikkünk korábbi változatában tévesen szerepelt, hogy a Groupama Biztosító is az OTP érdekeltsége.
Alább olvasható minden tétel.
A költségek listája



Külsős cégek listája


Kedves Olvasónk!
Üdvözöljük a Magyar Narancs híroldalán.
A Magyar Narancs független, szabad politikai és kulturális hetilap.
Jöjjön el mindennap: fontos napi híreink ingyenesen hozzáférhetők. De a nyomtatott Narancs is zsákszám tartalmaz fontos, remek cikkeket, s ezek digitálisan is előfizethetők itt.
Fizessen elő, vagy támogassa a független sajtót! Olvassa a Magyar Narancsot!